공무원 봉급표2026 직렬별 상세 정리
공무원 봉급표2026는 단순한 급여 인상 자료가 아니라, 공직 사회 전반의 보수 구조와 국가 인사 정책의 방향성을 함께 보여주는 핵심 기준표입니다.

매년 공무원 봉급표는 물가상승률, 민간 임금 인상 흐름, 재정 여건, 공무원 사기 진작 필요성 등을 종합적으로 고려해 결정되며, 2026년 역시 이러한 요소들이 반영되어 조정되었습니다. 특히 공무원 봉급표2026는 전년도 대비 일정 수준의 보수 인상이 반영되었고, 직렬별 특성을 유지하면서도 하위 직급과 중간 직급에서 체감도를 높이는 방향으로 설계되었습니다.

아래에서는 2026년 공무원 봉급표를 직렬별로 구분해 설명하고, 각 직렬별로 대표적인 봉급 금액 일부를 리스트업 형식으로 정리해 드리겠습니다.
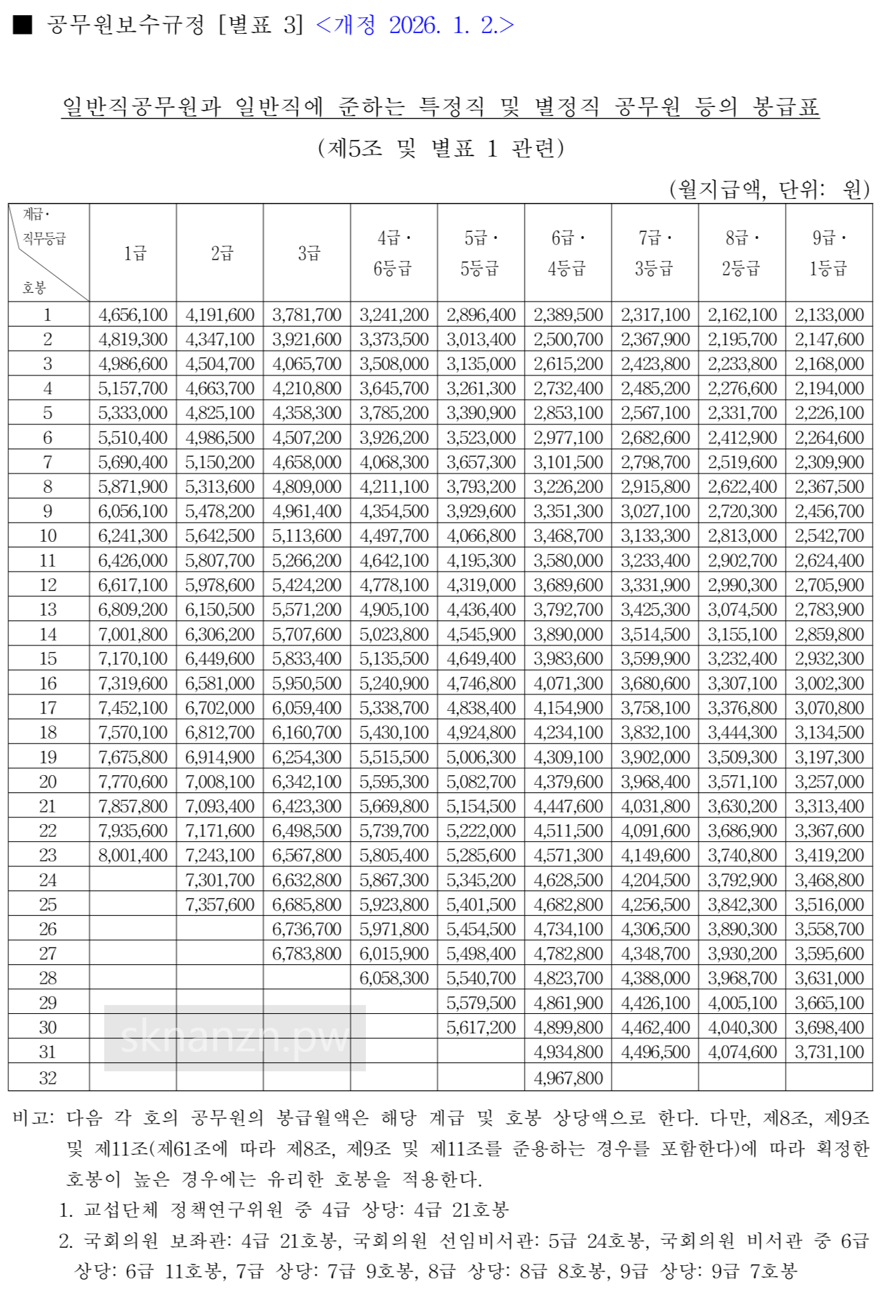
일반직 공무원 봉급표
일반직 공무원은 행정, 기술, 전산, 세무 등 다양한 분야를 포괄하는 가장 기본적인 공무원 직렬입니다.

봉급 체계는 9급부터 1급까지 계급 중심 구조를 유지하며, 각 계급 내에서 호봉이 상승함에 따라 봉급이 누적적으로 증가합니다. 2026년 일반직 봉급표는 저연차 구간에서의 생활 안정성과 중장기 재직자의 보상 구조를 동시에 고려한 것이 특징입니다. 신규 공무원이 진입하는 9급 1호봉부터 중간 관리직에 해당하는 5급 이상까지 봉급 인상 흐름이 비교적 고르게 반영되었습니다.
- 9급 1호봉: 약 213만 원 수준
- 9급 5호봉: 약 222만 원 수준
- 7급 1호봉: 약 231만 원 수준
- 7급 10호봉: 약 313만 원 수준
- 5급 1호봉: 약 289만 원 수준
- 4급 10호봉: 약 449만 원 수준
이와 같은 구조는 승진과 근속에 따라 급여가 단계적으로 상승하는 공무원 보수 체계의 기본 원리를 그대로 보여줍니다.

교육공무원(초·중·고 교원) 봉급표
유치원, 초등학교, 중학교, 고등학교 교원은 계급이 아닌 호봉 중심 봉급 체계를 적용받습니다.

이는 교직의 특성상 직급보다는 교육 경력과 근속 연수를 중시하는 구조이기 때문입니다. 2026년 교원 봉급표 역시 전반적인 인상 기조를 유지하면서, 중장기 근속 교원의 봉급 상승 폭이 비교적 안정적으로 유지되도록 설계되었습니다.
- 1호봉: 약 204만 원 수준
- 5호봉: 약 229만 원 수준
- 10호봉: 약 251만 원 수준
- 20호봉: 약 348만 원 수준
- 30호봉: 약 482만 원 수준
- 40호봉: 약 620만 원 수준
교원 봉급표는 근속 연수에 따른 보상 구조가 비교적 명확하다는 점에서, 장기 재직 시 급여 안정성이 높은 편에 속합니다.


국립대학 교원 봉급표
국립대학 교원은 초·중·고 교원과 유사한 호봉제를 적용받지만, 봉급액 자체는 상대적으로 높은 수준으로 책정됩니다.

이는 교육뿐 아니라 연구와 행정 역할까지 수행하는 대학 교원의 직무 특성을 반영한 결과입니다. 2026년 국립대학 교원 봉급표 역시 전년도 대비 인상된 금액이 적용되었습니다.



- 1호봉: 약 237만 원 수준
- 5호봉: 약 268만 원 수준
- 10호봉: 약 317만 원 수준
- 20호봉: 약 453만 원 수준
- 30호봉: 약 623만 원 수준
호봉이 누적될수록 봉급 상승 폭이 비교적 크게 나타나며, 일정 호봉 이후에는 급여 안정성이 강화되는 구조입니다.

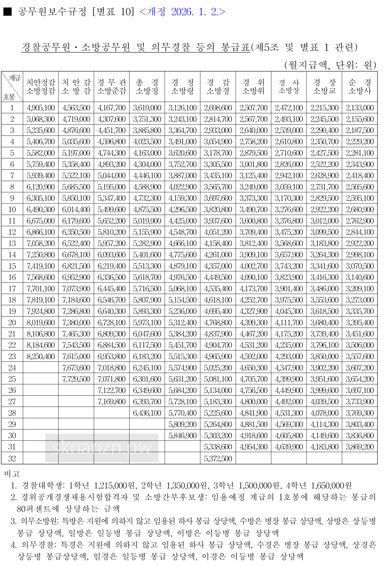
경찰공무원 봉급표
경찰공무원은 공안 직렬로 분류되며, 일반직과 유사한 계급 체계를 유지하면서도 현장 근무와 위험 직무 수행을 고려한 봉급 구조를 가지고 있습니다. 2026년 경찰 봉급표는 순경, 경장 등 하위 계급부터 총경 이상 간부 계급까지 전반적인 인상 흐름을 반영했습니다.
- 순경 1호봉: 약 213만 원 수준
- 순경 5호봉: 약 228만 원 수준
- 경사 1호봉: 약 247만 원 수준
- 경위 10호봉: 약 327만 원 수준
- 경정 10호봉: 약 487만 원 수준
현장 출동과 야간 근무가 잦은 직렬 특성상, 봉급 외 수당 비중도 높은 편이라는 점을 함께 고려해야 합니다.

소방공무원 봉급표
소방공무원 역시 경찰과 마찬가지로 공안 직렬에 속하며, 위험 직무 수행에 따른 보상 구조가 반영된 봉급 체계를 적용받습니다. 2026년 소방공무원 봉급표는 소방사부터 소방정까지 단계적으로 인상된 금액이 적용되었습니다.
- 소방사 1호봉: 약 213만 원 수준
- 소방사 5호봉: 약 228만 원 수준
- 소방교 10호봉: 약 327만 원 수준
- 소방위 10호봉: 약 357만 원 수준
- 소방정 10호봉: 약 601만 원 수준
위험성과 책임도가 높은 직렬인 만큼, 봉급 외에도 다양한 현장 수당이 함께 지급됩니다.


군인 봉급표
군인 봉급표는 장교, 부사관, 병으로 구분되며, 계급과 호봉에 따라 봉급이 산정됩니다.

2026년 군인 봉급표는 특히 초급 간부와 병 계급의 생활 안정성을 고려해 조정된 것이 특징입니다.
- 소위 1호봉: 약 215만 원 수준
- 중위 1호봉: 약 230만 원 수준
- 대위 5호봉: 약 333만 원 수준
- 소령 5호봉: 약 399만 원 수준
- 중령 10호봉: 약 426만 원 수준
군인의 경우 기본 봉급 외에도 복지, 숙소, 급식 등 다양한 비금전적 보상이 함께 제공됩니다.

연구직 및 전문경력관 봉급표
연구직 공무원과 전문경력관은 고도의 전문성을 요구하는 직렬로, 일반직과는 별도의 봉급표가 적용됩니다.



2026년 봉급표 역시 연구관, 연구사, 전문경력관 가군·나군·다군별로 구분된 구조를 유지합니다.
- 연구사 1호봉: 약 231만 원 수준
- 연구사 10호봉: 약 334만 원 수준
- 연구관 1호봉: 약 289만 원 수준
- 전문경력관 가군 1호봉: 약 289만 원 수준
- 전문경력관 다군 10호봉: 약 255만 원 수준
이 직렬은 단순 근속보다는 전문성 유지와 직무 난이도가 봉급 구조에 큰 영향을 미칩니다.



결론
2026년 공무원 봉급표는 직렬별 특성을 유지하면서도 전반적인 보수 인상 흐름을 반영한 구조로 정리할 수 있습니다. 일반직, 교원, 경찰·소방, 군인, 연구직 등 각 직렬마다 봉급 체계의 성격은 다르지만, 공통적으로는 근속과 책임에 따른 보상 구조가 강화되는 방향으로 조정되었습니다.


공무원 봉급표는 기본급 기준 자료인 만큼, 실제 수령액은 각종 수당을 포함해 달라질 수 있으나, 2026년 봉급표 자체만 놓고 보더라도 공무원 보수 체계의 안정성과 예측 가능성은 여전히 유지되고 있다고 볼 수 있습니다.

'직장생활' 카테고리의 다른 글
| 공무원 정년연장 65세 시행 시기 (0) | 2026.01.08 |
|---|---|
| 공무원 여비규정 출장비 교통비 숙박비 2025년 교사 관내 관외 출장 지급규정 (0) | 2025.12.13 |
| 2026년 공무원봉급인상률, 직급보조비, 초과근무수당 인상 (0) | 2025.11.23 |
| 교사 성과급 지급 시기, 2026 지급액 (0) | 2025.11.19 |
| 교육 공무원 정년연장 65세 시행 시기 (0) | 2025.11.11 |