경찰공무원 봉급표 2026 시보 월급
2026년 현재 기준으로 경찰공무원 봉급은 「공무원보수규정」 개정에 따라 새롭게 적용된 봉급표를 중심으로 이해해야 합니다. 특히 경찰 급여 체계는 단순 기본봉급만으로 판단하기 어렵고, 호봉에 따른 상승 구조와 다양한 수당이 결합되는 형태이기 때문에 전체적인 보수 체계를 함께 살펴보는 것이 중요합니다.

이번 내용에서는 개정된 경찰공무원 봉급표 2026을 기준으로 경찰공무원 계급별 기본급 흐름과 초임 단계에서의 급여 구조를 중심으로 현재 시점에 맞는 현실적인 월급 수준을 정리해드립니다.


경찰공무원 봉급표 2026
경찰공무원 봉급표는 매년 개정되며, 2026년 기준으로는 전반적인 경찰공무원 봉급표 2026에 대해서 살펴 보겠습니다. 특히 순경 1호봉은 경찰 시보 월급을 판단하는 기준점이 되는 만큼 정확한 수치를 알고 있어야 합니다.

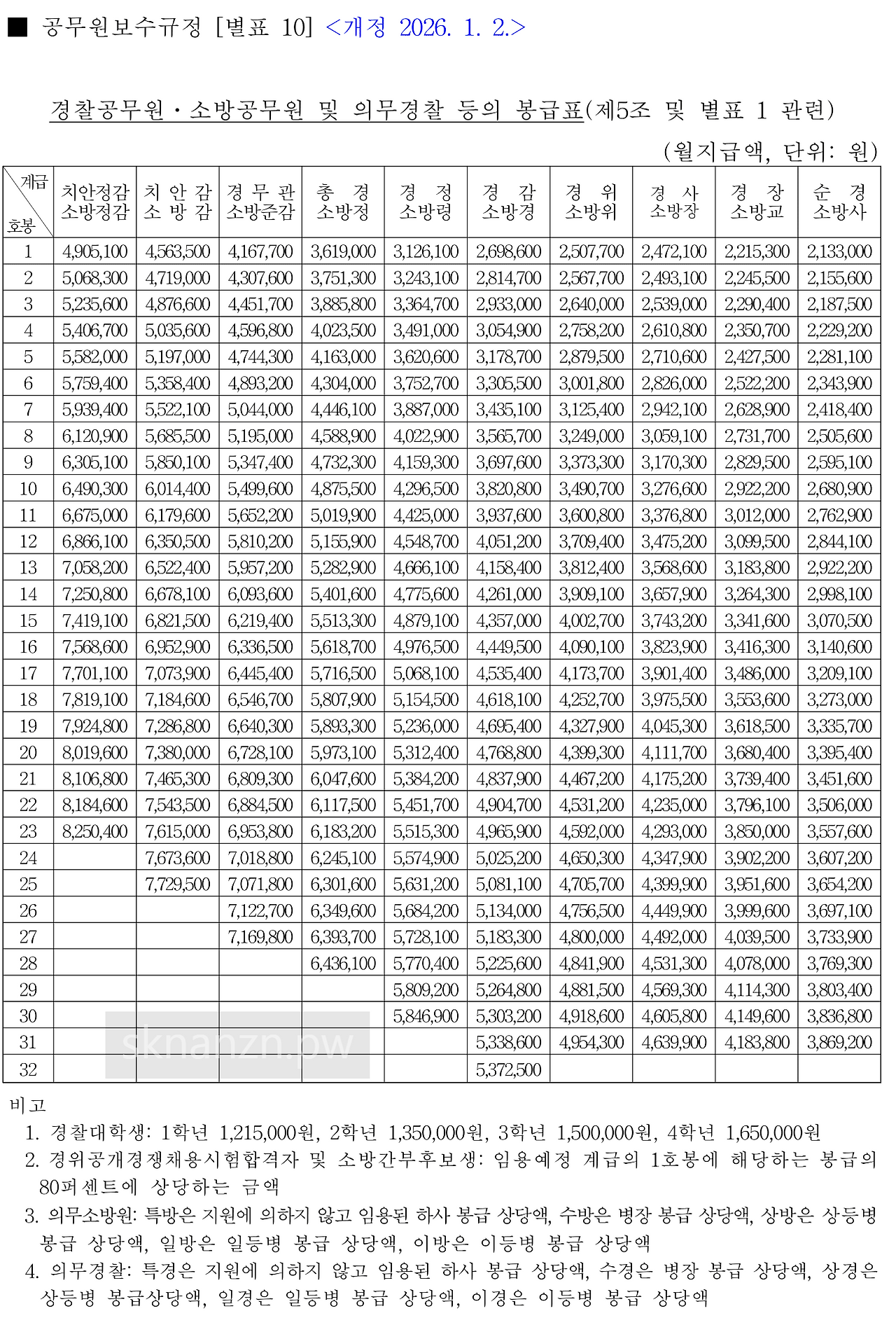
경찰공무원 봉급표 2026에서 경찰 계급별 1호봉 기본봉급은 다음과 같습니다.
- 치안정감 4,905,100원
- 치안감 4,563,500원
- 경무관 4,167,700원
- 총경 3,619,000원
- 경정 3,126,100원
- 경감 2,698,600원
- 경위 2,507,700원
- 경사 2,472,100원
- 경장 2,215,300원
- 순경 2,133,000원
여기서 중요한 포인트는 경찰 시보의 출발 기준이 되는 순경 1호봉이 213만 3천 원이라는 점입니다. 2025년 기준 약 200만 원 초반이었던 것과 비교하면 분명히 상승한 수치입니다. 따라서 현재 기준으로 경찰 초봉을 설명할 때는 “순경 1호봉 기본급 약 213만 원”으로 이해하는 것이 정확합니다.

경찰 시보 월급 구조 이해하기
많은 분들이 “경찰 시보 월급이 얼마인가”를 단순 숫자로 알고 싶어 하지만, 실제 급여는 단순 기본급으로 끝나지 않습니다. 경찰공무원은 다양한 수당 구조가 결합되는 직군이기 때문에, 실제 수령액은 기본봉급보다 높게 형성됩니다.

시보 기준으로 월급을 구성하는 주요 항목은 다음과 같습니다.
- 기본봉급 2,133,000원
- 정액급식비 140,000원
- 직급보조비 175,000원
- 위험근무수당
- 치안활동비
- 대민활동비
- 시간외근무수당
- 야간근무수당
- 휴일근무수당

여기서 핵심은 모든 수당이 항상 동일하게 지급되는 것은 아니라는 점입니다. 특히 경찰은 근무 형태에 따라 수당 편차가 큰 직군입니다. 예를 들어 지구대나 파출소와 같은 현장 부서는 대민활동비와 치안활동비 비중이 크고, 내근 부서는 상대적으로 수당이 제한될 수 있습니다.


경찰 시보 실제 월급 체감 수준
이제 가장 중요한 실수령 기준을 살펴보겠습니다. 경찰 시보 월급은 다음과 같은 구조로 이해할 수 있습니다.
- 기본급 + 공통 수당만 반영 시
약 240만 원대 초반 - 일반 현장근무 기준 수당 포함 시
약 260만 원대 ~ 280만 원대 - 초과근무, 야간근무 포함 시
약 300만 원 내외 또는 그 이상

여기서 공제 항목도 고려해야 합니다.
- 국민연금
- 건강보험 및 장기요양보험
- 고용보험
- 소득세 및 지방소득세
이 공제 항목을 반영하면 실제 통장에 들어오는 금액은 약 230만 원대 후반에서 270만 원대 수준으로 형성되는 경우가 많습니다. 다만 이는 평균적인 범위일 뿐이며, 근무 강도와 시간외근무량에 따라 달라질 수 있습니다.

순경 호봉 상승에 따른 급여 변화
경찰공무원 급여의 특징은 호봉제 구조입니다. 즉 시간이 지날수록 자동적으로 기본급이 상승합니다. 초임만 보면 다소 낮다고 느낄 수 있지만, 장기적으로 보면 안정적인 상승 구조를 가지고 있습니다.

2026년 기준 순경 호봉별 기본급 흐름은 다음과 같습니다.
- 1호봉 2,133,000원
- 5호봉 2,281,100원
- 10호봉 2,680,900원
- 15호봉 3,070,500원
- 20호봉 3,395,400원
- 25호봉 3,654,200원
- 30호봉 3,836,800원
이처럼 호봉만으로도 기본급이 상당히 상승하며, 여기에 승진이 더해지면 급여 상승폭은 더욱 커집니다. 따라서 경찰 시보 월급은 단기적인 출발점일 뿐이며, 장기적인 급여 구조를 함께 보는 것이 중요합니다.

경찰공무원 수당 체계 핵심 정리
경찰 급여에서 중요한 또 하나의 축은 수당입니다. 실제 체감 월급을 결정하는 요소이기 때문에 반드시 함께 이해해야 합니다.
주요 수당 구조는 다음과 같습니다.
- 상여수당: 정근수당, 성과상여금, 명절휴가비
- 가계보전수당: 가족수당, 주택수당, 육아휴직수당
- 특수근무수당: 위험근무수당, 치안활동비, 대민활동비
- 실비보전수당: 정액급식비, 직급보조비
- 초과근무수당: 시간외, 야간, 휴일근무
특히 초임 경찰에게 중요한 수당은 다음과 같습니다.
- 정액급식비
- 직급보조비
- 위험근무수당
- 치안활동비
- 시간외근무수당
이 항목들이 실제 월급을 끌어올리는 핵심 요소입니다.


경찰 시보 월급을 볼 때 반드시 체크해야 할 포인트
경찰공무원 급여를 제대로 이해하려면 몇 가지 핵심 포인트를 반드시 알고 있어야 합니다.
- 봉급표는 기본급 기준이며 실수령액과 다름
- 시보는 별도 계급이 아닌 초기 근무 상태
- 부서에 따라 수당 차이가 큼
- 초과근무 여부가 월급 변동의 핵심
- 연간 보수 기준으로 보는 것이 더 정확
특히 초과근무와 야간근무는 경찰 급여 구조에서 매우 중요한 변수입니다. 같은 순경 1호봉이라도 근무 형태에 따라 월급 차이가 크게 발생할 수 있습니다.
결론



경찰공무원 봉급표 2025를 기준으로 정보를 찾는 경우가 많지만, 현재 기준에서는 반드시 2026년 개정 봉급표를 기준으로 해석해야 정확합니다. 순경 1호봉 기본봉급은 약 213만 원 수준이며, 여기에 다양한 수당이 더해져 실제 월급이 형성됩니다. 시보 경찰의 경우 실수령 기준으로는 약 230만 원대 후반에서 270만 원대, 근무 형태에 따라 300만 원 내외까지도 가능하다는 점이 핵심입니다. 결국 경찰 월급은 단순 초봉보다 수당 구조와 근무 환경, 그리고 장기적인 호봉 상승까지 함께 고려해야 현실적인 판단이 가능합니다.
'경제정보 > 직장생활' 카테고리의 다른 글
| 2026년 공무원연금 인상률 정리 (0) | 2026.03.15 |
|---|---|
| 공무원 경조사 휴가일수 공무원 특별휴가 규정 총정리 (0) | 2026.03.10 |
| 공무원 시간외수당 단가표 2026 (0) | 2026.03.08 |
| 국민연금 건강보험 보수총액신고기간 (0) | 2026.02.15 |
| 임금체불 강제수사 체포영장 (0) | 2026.01.27 |